Bos taurus Gene: CRIP1 | |||||||||||||
---|---|---|---|---|---|---|---|---|---|---|---|---|---|
Summary | |||||||||||||
InnateDB Gene | IDBG-636174.3 | ||||||||||||
Last Modified | 2014-10-13 [Report errors or provide feedback] | ||||||||||||
Gene Symbol | CRIP1 | ||||||||||||
Gene Name | Cysteine-rich protein 1 | ||||||||||||
Synonyms | |||||||||||||
Species | Bos taurus | ||||||||||||
Ensembl Gene | ENSBTAG00000047229 | ||||||||||||
Encoded Proteins |
Cysteine-rich protein 1
|
||||||||||||
Protein Structure |
![]() |
||||||||||||
Useful resources | Stemformatics EHFPI ImmGen | ||||||||||||
Entrez Gene | |||||||||||||
Summary |
This gene does not have any Entrez summary - the following is the summary from its human ortholog ENSG00000257341:
Cysteine-rich intestinal protein (CRIP) belongs to the LIM/double zinc finger protein family, members of which include cysteine- and glycine-rich protein-1 (CSRP1; MIM 123876), rhombotin-1 (RBTN1; MIM 186921), rhombotin-2 (RBTN2; MIM 180385), and rhombotin-3 (RBTN3; MIM 180386). CRIP may be involved in intestinal zinc transport (Hempe and Cousins, 1991 [PubMed 1946385]).[supplied by OMIM, Mar 2008] |
||||||||||||
Gene Information | |||||||||||||
Type | Protein coding | ||||||||||||
Genomic Location | Chromosome 21:71390600-71392110 | ||||||||||||
Strand | Reverse strand | ||||||||||||
Band | |||||||||||||
Transcripts |
|
||||||||||||
Interactions | |||||||||||||
Number of Interactions |
This gene and/or its encoded proteins are associated with 0 experimentally validated interaction(s) in this database.
|
||||||||||||
Gene Ontology | |||||||||||||
Molecular Function |
|
||||||||||||
Biological Process |
|
||||||||||||
Cellular Component |
|
||||||||||||
Orthologs | |||||||||||||
Species
Mus musculus
Homo sapiens
|
Gene ID
Gene Order
|
||||||||||||
Cross-References | |||||||||||||
SwissProt | Q56K04 | ||||||||||||
TrEMBL | |||||||||||||
UniProt Splice Variant | |||||||||||||
Entrez Gene | 574093 | ||||||||||||
UniGene | |||||||||||||
RefSeq | NM_001025349 | ||||||||||||
HUGO | |||||||||||||
OMIM | |||||||||||||
CCDS | |||||||||||||
HPRD | |||||||||||||
IMGT | |||||||||||||
EMBL | AY911323 BC102754 | ||||||||||||
GenPept | AAI02755 AAW82091 | ||||||||||||
RNA Seq Atlas | 574093 | ||||||||||||
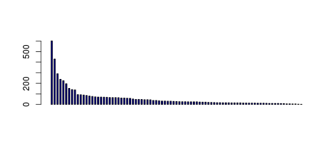
Transcript Frequencies | |||||||||||||
Tag Count based mRNA-Abundances across 87 different Tissues (TPM).
Based on Data from Bovine Gene Atlas |
(Move your mouse over the image to view a more detailed version) |
||||||||||||